
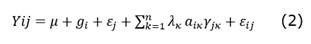
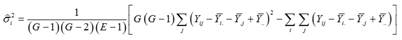
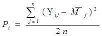
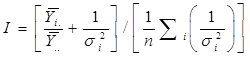
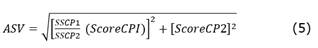
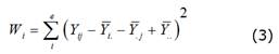
In Venezuela, sugarcane is grown in distinct environments, including soil categories and cultural practices. This research aimed to identify high-yield and stable sugarcane (Saccharum spp., hybrid) genotypes using selection indices. The experimental material consisted of sixteen genotypes and two commercial varieties as control. The genotypes were evaluated in five locations and by two harvest cycles. The yield in Ton Pol per hectare (TPH) was subjected to an analysis of variance according to the AMMI model. Methodologies of adaptability, stability, and indices that combine both stability and yield were determined. It was possible to distinguish the indices in three groups in the biplot. The superiority index (Pi), geometric adaptability index (GEI), and reliability index (Ii) were located in group 1 (G1). This group coincided in classifying genotypes CR87-339, C323-68, and V98-76 as the most stable and the best yield. The second group (G2) consisted of Kang's rank-sum (RS), Stability index (I), Sustainability index (SI), and geometric adaptability index (GDI) and located the genotypes CR87-339 and C323-68 as the most desired. The third group (G3) was constituted by the Ecovalence statistics (W), Shukla’s unbiased stability variance (σ2i) and the AMMI value (ASV) and classified the genotypes CP87-1762, V90-6 and CP 92-1641 as the best. The indices that best discriminated the genotypes and most associated with yield were PI, GAI and Ii.