
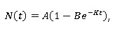
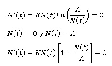
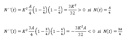
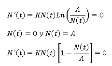
In this paper nonlinear models used to describe growth dynamics of plants based on dry matter production of Brachiaria brizantha CV. Toledo at different cutting ages and under nitrogen fertilization in rainy season were compared, which allowed establishing equilibrium points, study of monotony and concavity. Results showed the four models are related to the A constant relative to dry matter maximum yield. Balance points are affected by factors linked to the crop development. In drought conditions Gompertz model shows a weakness compared to the others, so its use would be restricted in such climatological conditions. Von Bertalanffy and Brody models lack a inflection point, so in trials where the inflections presence is presumed in dry matter production, its implementation is not convenient. It is possible suggest logistic model use in drought conditions, while in rainy season, use a logistic or Gompertz model is subject to the previous accomplishment of a covariance analysis. Nitrogen fertilization, cutting age, intrinsic growth rate of B. brizantha, as well as other factors affect this species development determine dry matter production sustainability.