
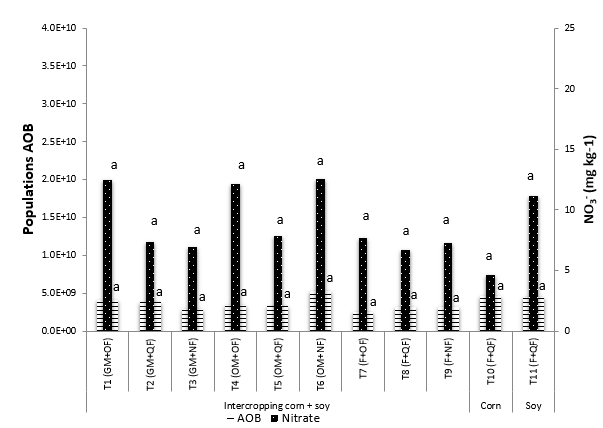
During the recycling of soil nitrogen, it is necessary to register the activity of nitrifying bacteria in nitrification. This process, in tropical conditions, is negatively affected by extreme variations in temperature, humidity, pH and organic matter during agronomic practices. Population changes of nitrifying bacteria in corn and soybean crops were evaluated under the use and management of green manure (GM). It was established as GM Mucuna pruriens var. utilis (CIAT No. 9349) - corn var. ICA 305. Ninety days later it was harvested and the residues were incorporated as LF or disposed on the soil surface as organic mulch (OM), the native weed Rottboellia cochinchinensis L. was managed as fallow (F). Then, corn-soybean crops were sown in an intercalated and monoculture system, each system was subject to organic fertilization (OF), chemical fertilization (CF) or no fertilization (NF). 11 treatments were structured under the design of Random Complete Blocks with 32 + 2 factorial arrangements with three repetitions. In the stage of blossoming and grain filling of the crops, the variables analyzed were; oxidizing bacteria of ammonium nitrate, volumetric humidity, temperature and yield. The populations of AOB and the production of NO3- did not vary significantly between treatments, but it did occur with soil temperature and humidity. The use of GM / OM promoted yields similar to those obtained with CF in corn, while in soybeans, when OM was added, yields exceeded CF.