contadores
Ir al menú de navegación principal Ir al contenido principal Ir al pie de página del sitio

Research Article

Vol. 37 Núm. 2 (2020): Revista de Ciencias Agrícolas - Segundo semestre, Julio - Diciembre 2020

Evaluation of phosphate solubilization from phosphoric rock via Aspergillus niger and Penicillium sp

DOI
https://doi.org/10.22267/rcia.203702.133
Enviado
diciembre 10, 2020
Publicado
2020-12-10

Resumen

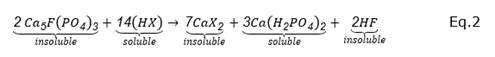
Phosphoric rock is the main source of phosphorus used in fertilizers. In most cases, it is applied alone or mixed with other nutrients in water; however, its low solubility means that it is not used efficiently, causing excess phosphorus to be wasted. As a result, it generates economic expenses to the farmer, or causing problems of eutrophication in water sources. In this article, different mixtures of solubilizing fungi with coffee pulp stillage were studied to improve phosphates’ solubility in phosphate rock. Despite that in different studies is clear the fungi’s role in P solubilization, its application on soils is still made without any additional treatment. Phosphoric rock samples were obtained from the municipality of Aipe (Huila) and were treated for 6 weeks with coffee pulp stillage (Coffea arabica) and inoculums of Aspergillus niger and Penicillium sp, pH and temperature controlled. The fungus species were obtained from environmental media on PDA culture, then it was isolated and identified on MEA culture according to standard morphologic identification methods. Aspergillus niger showed greater mycelial growth in the stillage and a higher concentration of phosphates dissolved in the aqueous phase (72 ± 31 M) compared to Penicillium sp. The mixture of the two fungi in the treatments allowed to obtain the highest percentage of phosphates (17.8% of the phosphate soluble in H2SO4 40% v / v).

Citas

  1. Beyene, A.; Kassahun, Y.; Addis, T.; Assefa, F.; Amsalu, A.; Legesse, W.; Triest. L, (2012). The impact of traditional coffee processing on river water quality in Ethiopia and the urgency of adopting sound environmental practices. Environ. Monit. Assess. 184(11): 7053-7063. doi: http://dx.doi.org/10.1007/s10661-011-2479-7
  2. Cássia, U.; Oliveira, G.; Morena, N.; Leal, J.; Ribeiro, I.; Rogério, M.; Dutra, M. (2014). Fluoride-tolerant mutants of Aspergillus niger show enhanced phosphate solubilization capacity. PLOS ONE. 9(10): 1-9. doi: http://dx.doi.org/10.1371/journal.pone.0110246
  3. Chunquiao, X.; Fang, Y.; Chi, R. (2015). Phosphate solubilization in vitro by isolated Aspergillus niger and Aspergillus carbonarius. Res. Chem. Intermed. 41(5): 2867 -2878. doi: http://dx.doi.org/10.1007/s11164-013-1395-6
  4. Cordell, D. (2010). The Story of Phosphorus: Sustainability implications of global phosphorus scarcity for food security (Doctoral dissertation). Sydney: University of Technology Sydney. 139p.
  5. Cordell, D.; Drangert, J. O.; White, S. (2009). The story of phosphorus: global food security and food for thought. Global Environ. Chang. 19(2): 292-305. doi: http://dx.doi.org/10.1016/j.gloenvcha.2008.10.009
  6. Edixhoven, J. D.; Gupta, J.; Savenije, H. H. G. (2013). Recent revisions of phosphate rock reserves and resources: reassuring or misleading? An in-depth literature review of global estimates of phosphate rock reserves and resources. Earth Syst. Dynam. Discuss. 4 (2):1005-1034. doi: http://dx.doi.org/10.5194/esdd-4-1005-2013
  7. Gilbert, N. (2009). Environment: the disappearing nutrient. Nature News. 461(7265): 716-718. doi: http://dx.doi.org/10.1038/461716a
  8. Goldstein; A.H., Rogers; R.D., Mead; G. (1993). Mining by microbe. Bio.Technol. 11: 1250-1254.
  9. Harvey, D. (2000). Modern Analytical Chemistry. Boston: McGraw-Hill Companies, Inc.
  10. Ivanova, R. P.; Bojinova, D.Y.; Gruncharov, I. N.; Damgaliev, D. L. (2006). The solubilization of rock phosphate by organic acids. Phosphorus Sulfur. 181(11): 2541-2554. doi: http://dx.doi.org/10.1080/10426500600758399
  11. Iyyappan, J.; Bharathiraja, B.; Baskar, G.; Jayamuthunagai, J.; Barathkumar, S. (2018). Malic acid production by chemically induced Aspergillus niger MTCC 281 mutant from crude glycerol. Bioresour. Technol. 251: 264-267. doi: http://dx.doi.org/10.1016/j.biortech.2017.12.055
  12. Kaur, G.; Reddy, M. S. (2017). Improvement of crop yield by phosphate-solubilizing Aspergilluss species in organic farming. Arch. Agron. Soil Sci. 63 (1):24-34. doi: http://dx.doi.org/10.1080/03650340.2016.1182161
  13. Li, H.; Liu, J.; Li, G.; Shen, J.; Bergstrom, L.; Zhang, F. (2015). Past, present, and future use of phosphorus in Chinese agriculture and its influence on phosphorus losses. Ambio. 44 (2): 274-285. doi: http://dx.doi.org/10.1007/s13280-015-0633-0
  14. Lizarazo, P. X.; Gómez, D. (2015). Microbiota rizosférica de Espeletia spp. de los páramos de Santa Inés y de Frontino-Urrao en Antioquia - Colombia. Acta Biol. Col, 20 (1): 175-182. doi: http://dx.doi.org/10.15446/abc.v20n1.42827
  15. Mai, H. T. N.; Lee, K. M.; Choi, S.S. (2016). Enhanced oxalic acid production from corncob by a methanol-resistant strain of Aspergillus niger using semi solid-sate fermentation. Process Biochem. 51 (1): 9-15. doi: http://dx.doi.org/10.1016/j.procbio.2015.11.005
  16. Mathworks. (2019a). Kruskal-Wallis test - MATLAB kruskalwallis. Recovered from https://www.mathworks.com/help/stats/kruskalwallis.html#btv4oqy-6
  17. Mathworks. (2019b). Multiple comparison test - MATLAB multcompare. Recovered from https://www.mathworks.com/help/stats/multcompare.html?searchHighlight=multcompare&s_tid=doc_srchtitle
  18. Mathworks. (2019c). Multiple-sample tests for equal variances - MATLAB vartestn. Recovered from https://www.mathworks.com/help/stats/vartestn.html#btuo1pv
  19. Mathworks. (2019d). One-way analysis of variance - MATLAB anova1. Recovered from https://www.mathworks.com/help/stats/anova1.html
  20. Mendes, G. D. O.; da Silva, N. M. R.M.; Anastácio, T. C.; Vassilev, N. B.; Ribeiro Jr, J. I.; da Silva, I. R.; Costa, M. D. (2015). Optimization of Aspergillus niger rock phosphate solubilization in solid‐state fermentation and use of the resulting product as a P fertilizer. Microbial Biotechnol. 8(6): 930-939.
  21. Pérez, C, A.; de la Ossa, J.; Montes, V. D. (2012). Hongos Solubilizadores de Fosfatos en fincas ganaderas del departamento de Sucre. RECIA 4(1): 35-45. doi: http://dx.doi.org/10.24188/recia.v4.n1.2012.263.
  22. Peterson, S, W.; Vega, F. E.; Posada, F.; Nagai, C. (2005). Penicillium coffeae, a new endophytic species isolated from a coffee plant and its phylogenetic relationship to P, fellutanum, P. thiersii and P. brocae based on parsimony analysis of multilocus DNA sequences. Mycologia, 97(3): 659-666. doi: https://doi.org/10.1080/15572536.2006.11832796
  23. Pineda, M. B. (2015). Hongos solubilizadores de fosfato en suelo de páramo cultivado con papa [Solanum tuberosum]. Ciencia en Desarrollo. 5(2):145-154. doi: http://dx.doi.org/10.19053/01217488.3669
  24. Posso, E. J. S.; de Prager, M. S. (2017). Production of organic acids by rhizosphere microorganisms isolated from a Typic Melanudands and its effects on the inorganic phosphates solubilization. Acta Agron. 66(2): 241 -247. doi: http://dx.doi.org/10.15446/acag.v66n2.56148
  25. Puerta, G.; Ríos, S. 2011. Composición Química del mucílago de café según el tiempo de fermentación y refrigeración. Cenicafe. 62 (2): 23-40.
  26. Rashid, M.; Khalil, S.; Ayub, N.; Alam, S.; Latif, f. (2004). Organic acids production and phosphate solubilization by phosphate solubilizing microorganisms (PSM) under in vitro conditions. Pak. J. Biol. Sci. 7 (2):187-196.
  27. Restrepo G. M.; Marulanda, S.; de la Fe, Y.; Díaz, A.; Lucia, V.; Hernández, A. (2015). Bacterias solubilizadoras de fosfato y sus potencialidades de uso en la promoción del crecimiento de cultivos de importancia económica. CENIC. 46(1): 63 -76.
  28. Serrat, M.; la Dé, D.; Daniel, Á.; la Fé, D.; Alberto, J.; Montero, C. (2018). Extracción y caracterización de pectina de pulpa de café de la variedad Robusta. Revista Cubana de Química. 30 (3):522-538.
  29. Silva, C. F. et al. "Evaluation of a potential starter culture for enhance quality of coffee fermentation". World J Microbiol Biotechnol. 2013, 29: 235–247.
  30. Silva, C.F.; Vilela, D.M.; de Souza Cordeiro, C.; Duarte, W.F.; Dias, D.R.; Schwan, R.F. (2013). Evaluation of a potential starter culture for enhance quality of coffee fermentation. World J Microbiol Biotechnol. 29(2):235-47. doi: 10.1007/s11274-012-1175-2
  31. Stutter, M. I.; Shand, C. A.; George, T. S.; Blackwell, M. S. A.; Bol, R.; Mackay, R. L.; Haygarth, P. M. (2012). Recovering phosphorus from soil: A root solution? Environ. Sci. Technol. 46(4): 1977-1978. doi: http://dx.doi.org/10.1021/es2044745
  32. USGS - United States Geological Survey. (2017). Mineral commodity summaries 2017. Reston, VA U.S: Geological Survey, 202 p. doi: https://doi.org/10.3133/70180197
  33. Vera, D. F.; Pérez, H.; Valencia, H. (2002). Aislamiento de hongos solubilizadores de fosfatos de la rizósfera de Arazá (Eugenia stipitata, Myrtaceae). Acta Biol. Col. 7(1): 33-40. doi: http://dx.doi.org/10.15446/abc
  34. Visagie, C. M.; Houbraken, J.; Frisvad, J. C.; Hong, S. B.; Klaassen, C. H. W.; Perrone, G.; Samson, R.A. (2014). Identification and nomenclature of the genus Aspergilluss. Stud. Mycol. 78 (1): 343-371. doi: http://dx.doi.org/10.1016/j.simyco.2014.09.001
  35. Wakelin, S. A.; Warren, R. A.; Harvey, P.R.; Ryder, M. H. (2004). Phosphate solubilization by Penicillium sp, closely associated with wheat roots. Biol. Fert. Soils. 40(1): 36-43. doi: https://doi.org/10.1007/s00374-004-0750-6
  36. Walan, P.; Davidsson, S.; Johansson, S.; Höök, M. (2014). Phosphate rock production and depletion: Regional disaggregated modeling and global implications. Resour. Conserv. Recy. 93: 178-187. doi: http://dx.doi.org/10.1016/j.resconrec.2014.10.011
  37. Yin, Z.; Shi, F.; Jiang, H.; Roberts, D. P.; Chen, S.; Fan, B. (2015). Phosphate solubilization and promotion of maize growth by Penicillium oxalicum P4 and Aspergillus niger P85 in a calcareous soil. Can J. Microbiol. 61(12): 913-923. doi: https://doi.org/10.1139/cjm-2015-0358
  38. Zapata, F.; Roy, R.N. (2007). Utilización de las rocas fosfóricas para una agricultura sostenible. Roma: Organización de las Naciones Unidas para la agricultura y la alimentación y del organismo internacional de Energía Atómica. 73p.

Descargas

Los datos de descargas todavía no están disponibles.