
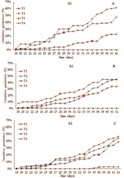
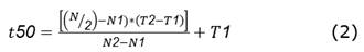
Understanding seed germination of native forest species of the Tropical wet forest is essential for ecosystem regeneration and conservation, which have been affected by the exploitation of wood and non-wood forest products. Carapa guianensis Aulb. (Meliaceae) has been exploited due to the high quality of its wood and seeds. Particularly, the latter is a source of a medicinal oil of high value to the pharmaceutical industry. The indiscriminate use of this species has reduced its population size; therefore, scientific knowledge of its sexual propagation in nurseries is vital. This research aimed to evaluate seed germination of C. guianensis under different pre-germination treatments and substrates at the Centro de Investigación El Mira of AGROSAVIA. Pre-germination assays were conducted in a split-plot design with a random distribution of four repetitions. The cumulative germination percentage (CGP) and mean germination time (t50) were calculated and analyzed through an ANOVA, and Tukey’s multiple comparison test using InfoStat V.2016. Significant differences for CGP among treatments (p<0.0001) and interactions (p<0.0096) were found. The highest germination percentage (61%) was achieved in S1+T4; however, the T50 did not show significant differences (p=0.24). This research demonstrates that the highest germination percentage is achieved through a scarification treatment with imbibition in sand substrate under the agroclimatic conditions of Tumaco.