
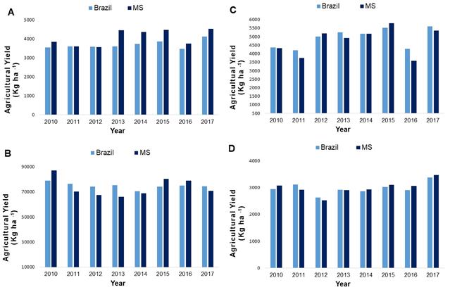
The application of agrochemicals plays a key role in the world's food and agricultural products supply. Brazil, as one of the most relevant agricultural global players is highly dependent on the application of such products, which surely attracted not only companies that licitly commercialized the pesticides but also the so termed pesticide smugglers. Here, we conducted a retrospective survey (i.e., from 2010 to 2017) regarding the apprehension of illegal products, agricultural productivity and food poisoning in the state of Mato Grosso do Sul (MS). The statistical data were obtained by official agencies Such as Technical-Scientific Sector of the Federal Police Department of the MS State, The System of Control of Seized Goods, The National Toxic-Pharmacological Information System and The Brazilian Institute of Geography and Statistics, and by the non-official National Union of the Product Industry for Plant Protection agency. The results indicated that in 2011 the MS state had the largest number of seizures of illegal pesticides compared to other years. In addition, from 2010 to 2013, the state was among the regions with the highest number of seizures. In the same period, the agricultural productivity of the cotton, sugarcane, corn and soybean crops was lower compared to the other years. Regarding the food poisoning, the percentage of human intoxication by agrochemicals for agricultural use was low compared to all cases of intoxication by various toxic agents. It was concluded that the state MS presented a large amount of seizure of illegal pesticides.